P.-S.
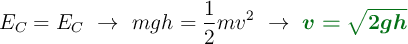
a) Si la altura que alcanza la masa
es de 0.2 m, puedes aplicar el teorema de conservación de la energía mecánica para determinar la velocidad con la que llega a la posición de la masa
. Tomas como referencia esa posición y haces cero la energía potencial en ese punto. Se cumple que la energía potencial de la masa
antes de soltarse ha de ser igual a la energía cinética cuando llegue a la posición de
:
Sustituyes por los valores dados y calculas:
![v = \sqrt{2\cdot 9.8\ \frac{m}{s^2}\cdot 0.2\ m} = \fbox{\color[RGB]{192,0,0}{\bm{1.98\ \frac{m}{s}}}} v = \sqrt{2\cdot 9.8\ \frac{m}{s^2}\cdot 0.2\ m} = \fbox{\color[RGB]{192,0,0}{\bm{1.98\ \frac{m}{s}}}}](local/cache-vignettes/L249xH40/3b30ee07fc0a96195181e660af817594-ca8e9.png?1733027866)
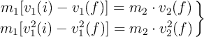
b) Si el choque es perfectamente elástico se deben conservar la cantidad de movimiento y la energía cinética del sistema:
Si operas con ambas ecuaciones y agrupas en función de las masas

y

, tienes:
Dado que la velocidad inicial del cuerpo 2 es nula, las ecuaciones anteriores las puedes escribir como:
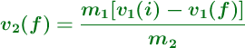
Despejas el valor de la velocidad final del cuerpo 2 en la primera ecuación:
Ahora sustituyes en la segunda ecuación:
Aplicas las igualdades notables para reescribir la ecuación anterior como:
Operas con la ecuación y calculas la velocidad final:
![0.5v_1(i) + 1.5v_1(f) = 0\ \to\ v_1(f) = \frac{-0.5v_1}{1.5} = \frac{-1.98\ \frac{m}{s}}{3} = \fbox{\color[RGB]{192,0,0}{\bm{-0.66\ \frac{m}{s}}}} 0.5v_1(i) + 1.5v_1(f) = 0\ \to\ v_1(f) = \frac{-0.5v_1}{1.5} = \frac{-1.98\ \frac{m}{s}}{3} = \fbox{\color[RGB]{192,0,0}{\bm{-0.66\ \frac{m}{s}}}}](local/cache-vignettes/L640xH47/f3cdbd096902a8c4ea23bbd220b9e468-ff925.png?1733094310)
(El valor negativo indica que es una velocidad de retroceso, es decir, en sentido contrario a la velocidad con la que llega la masa

hasta la masa

).
La velocidad de la masa 2 después del choque es:
![0.5[1.98 - (0.66)]\ \frac{m}{s} = \fbox{\color[RGB]{192,0,0}{\bm{1.32\ \frac{m}{s}}}} 0.5[1.98 - (0.66)]\ \frac{m}{s} = \fbox{\color[RGB]{192,0,0}{\bm{1.32\ \frac{m}{s}}}}](local/cache-vignettes/L297xH40/5e170fc4378d4233e17e05a11ad21fd8-03f0a.png?1733094310)
c) Ahora haces igual que en el apartado a), pero despejando el valor de la altura

:
![mgh = \frac{1}{2}mv^2\ \to\ {\color[RGB]{2,112,20}{\bm{h_1(f) = \frac{v_1^2(f)}{2g}}}} = \frac{(-0.66)^2\ \frac{m\cancel{^2}}{\cancel{s^2}}}{2\cdot 9.8\ \frac{\cancel{m}}{\cancel{s^2}}} = \fbox{\color[RGB]{192,0,0}{\bm{2.22\cdot 10^{-2}\ m}}} mgh = \frac{1}{2}mv^2\ \to\ {\color[RGB]{2,112,20}{\bm{h_1(f) = \frac{v_1^2(f)}{2g}}}} = \frac{(-0.66)^2\ \frac{m\cancel{^2}}{\cancel{s^2}}}{2\cdot 9.8\ \frac{\cancel{m}}{\cancel{s^2}}} = \fbox{\color[RGB]{192,0,0}{\bm{2.22\cdot 10^{-2}\ m}}}](local/cache-vignettes/L640xH75/3df5caa3acfddc27e279f3b6c847003d-d9451.png?1733094310)
(Es decir,
subirá 2.22 cm después del choque).
d) El razonamiento que indica el enunciado lo puedes hacer a partir de las ecuaciones del apartado b) para la energía cinética y la cantidad de movimiento del sistema antes y después del choque:
Si las masas son iguales:
Elevas al cuadrado la primera ecuación y obtienes:
Ahora puedes igualar esta ecuación a la segunda ecuación del sistema anterior y obtienes:
simplificas y obtienes la conclusión:
![v_1(i) - v_1(f) = v_1(i) + v_1(f)\ \to\ v_1(f) = 0\ \to\ \fbox{\color[RGB]{192,0,0}{\bm{v_2(f) = v_1(i)}}} v_1(i) - v_1(f) = v_1(i) + v_1(f)\ \to\ v_1(f) = 0\ \to\ \fbox{\color[RGB]{192,0,0}{\bm{v_2(f) = v_1(i)}}}](local/cache-vignettes/L593xH35/238dd4d521a9258df6bb3c8ed8bff4b5-7b6ce.png?1733094310)
Esto quiere decir que
el cuerpo 2 adquiere la misma velocidad que el cuerpo 1, mientras que este queda en reposo.
Si la masa 2 es mucho mayor que la masa 1:
Operas igual que antes para conseguir que ambos miembros sean iguales
Como el valor de

es mucho mayor que el de

, el cociente tiende a cero, resultando que:
![v_1(i)^2 = v_1(f)^2\ \to\ \fbox{\color[RGB]{192,0,0}{\bm{v_1(i) = -v_1(f)}}} v_1(i)^2 = v_1(f)^2\ \to\ \fbox{\color[RGB]{192,0,0}{\bm{v_1(i) = -v_1(f)}}}](local/cache-vignettes/L351xH35/aa7ed8ff7d3ab4f7faec49e116acd553-13f6b.png?1733094310)
Esto quiere decir que
el cuerpo 1 retrocede con la misma velocidad con la que impacta contra el cuerpo 2, mientras que este permanece en reposo.