Estequiometría: reactivos gaseosos 0001

, por F_y_Q

Cuando se mezclan 120 L de nitrógeno con 185 L de hidrógeno (ambos en c.n) se produce amoniaco.

a) ¿Cuántos moles de hidrógeno y nitrógeno se han hecho reaccionar?

b) ¿Crees que sobrará alguno de esos gases?

c) ¿Qué volumen de amoniaco se formará, medido a 0,9 atm y 30 ºC?

P.-S.

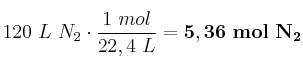
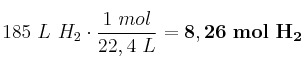
a) Primero vamos a calcular los moles de cada uno de los gases que estamos poniendo en la reacción:
120\ L\ N_2\cdot \frac{1\ mol}{22,4\ L} = \bf 5,36\ mol\ N_2
185\ L\ H_2\cdot \frac{1\ mol}{22,4\ L} = \bf 8,26\ mol\ H_2
La reacción que tiene lugar, debidamente ajustada, es:

3H_2 + N_2\ \to\ 2NH_3


Si suponemos que reaccionara todo el nitrógeno, harían falta:
5,36\ mol\ N_2\cdot \frac{3\ mol\ H_2}{1\ mol\ N_2} = 16,08\ mol\ H_2
Parece claro que no podrá reaccionar todo el nitrógeno porque solo disponemos de 8,26 mol de hidrógeno, por lo que podemos afirmar que sobrará nitrógeno. El hidrógeno es el reactivo limitante y debe ser nuestra referencia para hacer el resto de los cálculos.
c) Hacemos la estequiometría entre el hidrógeno y el amoniaco:
8,26\ mol\ H_2\cdot \frac{2\ mol\ NH_3}{3\ mol\ H_2} = 5,51\ mol\ NH_3

V = \frac{nRT}{P} = \frac{5,51\ mol\cdot 0,082\frac{atm\cdot L}{K\cdot mol}\cdot 303\ K}{0,9\ atm} = \bf 152,11\ L\ NH_3