Estequiometría de la oxidación del sulfuro de bismuto(III) (2098)

, por F_y_Q

Dada la siguiente ecuación química:

\ce{2Bi2S3 + 9O2 -> 2Bi2O3 + 6SO2}

1) Calcula la masa de dióxido de azufre que se obtiene al reaccionar 1 kg de \ce{Bi2S3} con la cantidad suficiente 
de \ce{ O2} .

2) Calcula la masa de oxigeno que reacciona completamente con 5 mol de \ce{Bi2S3}.

P.-S.

1) Calcula los moles a los que equivale el kilogramo de \ce{Bi2S3}. Para ello debes calcular la masa molecular:

M_{\ce{Bi2S3}} = 2\cdot 209 + 3\cdot 32 = \color[RGB]{0,112,192}{\bm{514\ \frac{g}{mol}}}

Usas el dato anterior como factor de conversión para hacer el cálculo:

1\ 000\ \cancel{g}\ \ce{Bi2S3}\cdot \frac{1\ \text{mol}}{514\ \cancel{g}} = \color[RGB]{0,112,192}{\textbf{1.94 mol \ce{Bi2S3}}}

Dos moles de \ce{Bi2S3} producen 6 moles de \ce{SO_2} según la reacción del enunciado:

1.94\ \cancel{\ce{mol\ Bi2S3}}\cdot \frac{6\ \ce{mol\ SO2}}{2\ \cancel{\ce{mol\ Bi2S3}}} = \color[RGB]{0,112,192}{\textbf{5.82 mol \ce{SO2}}}

La masa molecular del \ce{SO_2}:

M_{\ce{SO2}} = 1\cdot 32 + 2\cdot 16 = \color[RGB]{0,112,192}{\bm{64\ \frac{g}{mol}}}

Ahora calculas la masa que suponen los moles que obtuviste:

5.82\ \cancel{\text{mol}}\ \ce{SO2}\cdot \frac{64\ g}{1\ \cancel{\text{mol}}} = \fbox{\color[RGB]{192,0,0}{\textbf{372.5 g \ce{SO2}}}}


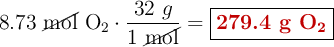
2) Ahora haces la estequiometría entre el sulfuro de bismuto y el oxígeno. Dos moles de \ce{Bi2S3} reaccionan con 9 moles de \ce{ O2}, según la reacción:

1.94\ \cancel{\ce{mol\ Bi2S3}}\cdot \frac{9\ \ce{mol\ O2}}{2\ \cancel{\ce{mol\ Bi2S3}}} = \color[RGB]{0,112,192}{\textbf{8.73 mol \ce{O2}}}

Conviertes en masa estos moles de oxígeno:

8.73\ \cancel{\text{mol}}\ \ce{O2}\cdot \frac{32\ g}{1\ \cancel{\text{mol}}} = \fbox{\color[RGB]{192,0,0}{\textbf{279.4 g \ce{O2}}}}