Escribir y clasificar una reacción química 0001
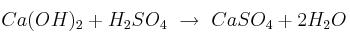
Escribe y ajusta la reacción química entre el hidróxido de calcio y el ácido sulfúrico, sabiendo que se obtienen como productos el sulfato de calcio y agua. Indica qué tipo de reacción es.
Escribe y ajusta la reacción química entre el hidróxido de calcio y el ácido sulfúrico, sabiendo que se obtienen como productos el sulfato de calcio y agua. Indica qué tipo de reacción es.