Energía y trabajo de una partícula (3896)

, por F_y_Q

Una partícula de 4 kg se mueve a lo largo del eje x. Su posición varía con el tiempo de acuerdo con la ecuación:

x(t) = (t + 2)^3

donde «x» se mide en metros y «t» en segundos. Encuentra:

a) La energía cinética en cualquier instante.

b) La aceleración de la partícula y la fuerza que actúa sobre ella en función del tiempo.

c) El trabajo efectuado sobre la partícula en el intervalo t = 0 a t = 2 s.

P.-S.

a) Para obtener la energía cinética necesitas conocer la velocidad de la partícula. Para ello, derivas la ecuación de la posición con respecto del tiempo:

v = \frac{d((t+2)^3)}{dt}\ \to\ {\color[RGB]{2,112,20}{\bm{v = 3(t+2)^2}}}\ \ (Ec.\ 1)

Ahora puedes escribir la energía cinética en función del tiempo:

E_C = \frac{1}{2}m\cdot v^2 = \frac{4}{2}\cdot [3(t+2)^2]^2\ \to\ \fbox{\color[RGB]{192,0,0}{\bm{E_C = 18(t+2)^4\ (J)}}}


b) La aceleración de la partícula la obtienes haciendo la derivada de la velocidad (Ec. 1) con respecto del tiempo:

a = \frac{d(3(t+2)^2)}{dt}\ \to\ \fbox{\color[RGB]{192,0,0}{\bm{a = 6(t+2)\ (m\cdot s^{-1})}}}


La fuerza que actúa sobre ella, aplicando la segunda ley de la dinámica, será:

F = m\cdot a = 4\cdot 6(t+2)\ \to\ \fbox{\color[RGB]{192,0,0}{\bm{F = 24(t+2)\ (N)}}}


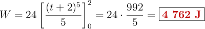
c) El trabajo es el producto de la fuerza aplicada por la distancia recorrida. Debes hacer la integral definida para el intervalo dado:

W = \int_0^2 F\cdot x\cdot dt = \int_0^2 24(t+2)\cdot (t+2)^3\cdot dt\ \to\ \color[RGB]{2,112,20}{\bm{W = 24\int_0^2 (t+2)^4\cdot dt}}

Resolviendo la integral:

W = 24\left[\frac{(t+2)^5}{5}\right]_0^2 = 24\cdot \frac{992}{5} = \fbox{\color[RGB]{192,0,0}{\bf 4\ 762\ J}}