Energía potencial eléctrica 0001

, por F_y_Q

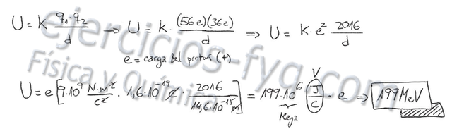
En la fisión nuclear del uranio-235 un núcleo de esa especia captura un neutrón y se divide en dos núcleos más ligeros; uno de bario-56 y otro de kriptón-36. Suponiendo a ambos núcleos como cargas puntuales positivas y que están separadas por una distancia de 14,6\cdot 10^{-15}\ m, calcula la energía potencial eléctrica del sistema, expresada en eV.

P.-S.

U = 199 MeV