Energía de activación de una reacción de orden uno y constante de velocidad (6164)

, por F_y_Q

Para la reacción irreversible de primer orden:

\ce{A + B ->  C}

se sabe que la velocidad se hace cuatro veces mayor cuando aumenta la temperatura de 60\ ^oC a 80\ ^oC. Teniendo en cuenta que la constante de velocidad a 60\ ^oC para dicha reacción es 0.02\ s^{-1}, determina:

a) La energía de activación de la reacción (expresada en kJ/mol).

b) La constante de velocidad cuando la reacción se lleva a cabo a 150\ ^oC.

P.-S.

La ecuación de velocidad de la reacción, dado que es de primer orden, tiene la forma:

\color[RGB]{2,112,20}{\bf v  = k\cdot [C]}

Al variar la temperatura variará el valor de la constante de velocidad también. Sabes que la relación de las velocidades es:

\color[RGB]{2,112,20}{\bm{v_2  = 4v_1}}

Escribes las ecuaciones de velocidad para las dos temperaturas y divides una entre la otra:

\frac{v_2}{v_1} = \frac{k_2\cdot \cancel{[C]}}{k_1\cdot \cancel{[C]}}  = 4\ \to\ \color[RGB]{0,112,192}{\bm{4k_2 = k_1}}

Las constantes de velocidad se pueden escribir, según la ecuación de Arrhenius, en función de un factor preexponencial y la energía de activación:

\color[RGB]{2,112,20}{\bm{k  = A\cdot e^{\textstyle{- E_a\over RT}}}}

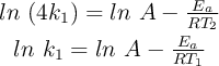
Tomas logaritmo neperiano para cada constante de velocidad y obtienes:

\left ln\ (4k_1)  = ln\ A - \frac{E_a}{RT_2} \atop ln\ k_1  = ln\ A - \frac{E_a}{RT_1}

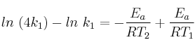
Restas ambas expresiones:

ln\ (4k_1) - ln\ k_1 = -\frac{E_a}{RT_2} + \frac{E_a}{RT_1}

Simplificando y sacando factor común:

ln\ 4 = \frac{E_a}{R}\left(-\frac{1}{T_2} + \frac{1}{T_1}\right)

Despejas el valor de la energía de activación y sustituyes:

E_a = \frac{R\cdot ln\ 4}{\left(-\frac{1}{T_2} + \frac{1}{T_1}\right)} = \frac{8.314\frac{J}{\cancel{K}\cdot mol}\cdot ln\ 4}{\left(-\frac{1}{353\ \cancel{K}} + \frac{1}{333\ \cancel{K}}\right)} = \fbox{\color[RGB]{192,0,0}{\bm{6.78\ \frac{kJ}{mol}}}}


b) Una vez conocida la energía de activación, aplicando la ecuación de Van’t Hoff podemos calcular la constante de velocidad para otra temperatura distinta, en este caso 150\ ^oC:

ln\ \left({\frac{k_2}{k_1}\right)  = \frac{E_a}{R}\left(\frac{1}{T_1} - \frac{1}{T_2}\right)\ \to\ \color[RGB]{2,112,20}{\bm{k_2 = k_1\cdot e^{\frac{E_a}{R}\left(\frac{1}{T_1} - \frac{1}{T_2}\right)}}}

Sustituyendo en la ecuación (prescindo de las unidades en el exponente para mejor comprensión):

k_2 = 0.02\ s^{-1}\cdot e^{\frac{6.78\cdot 10^3}{8.314}\left(\frac{1}{333} - \frac{1}{423}\right)} = \fbox{\color[RGB]{192,0,0}{\bm{3.37\cdot 10^{-2}\ s^{-1}}}}