Ejercicio química orgánica 0013 5449
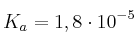
La constante de disociación del ácido acético es
y la del ácido cloroacético es
. Justifica estos valores a partir del efecto inductivo.
La constante de disociación del ácido acético es
y la del ácido cloroacético es
. Justifica estos valores a partir del efecto inductivo.