Ejercicio formulación orgánica (36)

, por F_y_Q

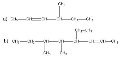
Nombra y formula:











c) 5,6-dimetilhept-1-en-3-ino

d) 6-etil-3,7-dimetilnonano

P.-S.

(Clica sobre la miniatura para ver la solución con más detalle. En rojo está lo que debes responder).