Ejercicio formulación orgánica (33)

, por F_y_Q

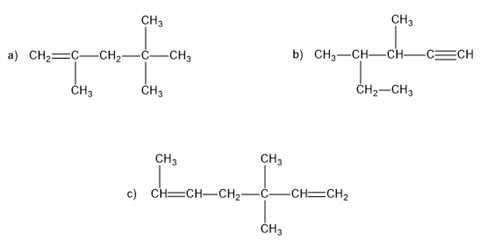
Nombra los compuestos siguientes:

P.-S.

(Si clicas sobre la miniatura verás los nombres y las estructuras con más detalle)

RESOLUCIÓN DEL EJERCICIO EN VÍDEO.