Ejercicio de formulación orgánica (50)

, por F_y_Q

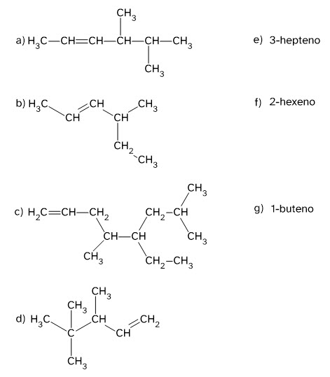
Formula y nombra los alquenos siguientes:

P.-S.

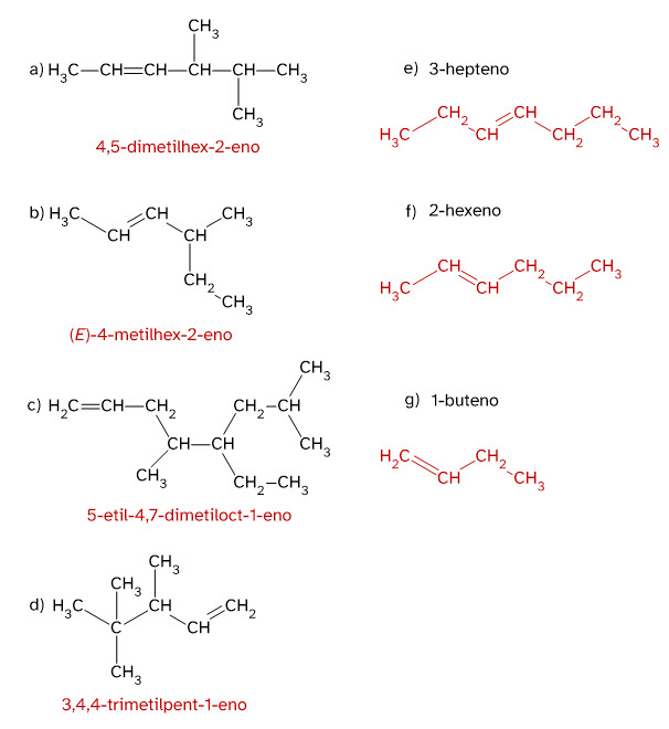
La solución la tienes en la siguiente imagen: