EBAU Andalucía: química (junio 2021) pregunta C.3 (7263)

, por F_y_Q

Se preparan 250 mL de una disolución acuosa de \ce{HCl} a partir de 2 mL de una disolución de \ce{HCl} comercial de densidad 1.38\ g\cdot mL^{-1} y 33\% de riqueza en masa.

a) ¿Cuál es la molaridad y el pH de la disolución que se ha preparado?

b) ¿Qué volumen de una disolución de \ce{Ca(OH)_2} 0.02 M es necesario añadir para neutralizar 100 mL de la disolución que se ha preparado?

Masas atómicas relativas: H = 1 ; Cl = 35.5

P.-S.

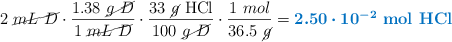
a) En primer lugar puedes calcular los moles de \ce{HCl} contenidos en los 2 mL de la disolución comercial:

2\ \cancel{mL\ D}\cdot \frac{1.38\ \cancel{g\ D}}{1\ \cancel{mL\ D}}\cdot \frac{33\ \cancel{g}\ \ce{HCl}}{100\ \cancel{g\ D}}\cdot \frac{1\ mol}{36.5\ \cancel{g}} = \color[RGB]{0,112,192}{\bm{2.50\cdot 10^{-2}}\ \textbf{\ce{mol\ HCl}}}

La molaridad de la disolución la calculas dividiendo los moles calculados entre el volumen de la disolución que preparas, expresado en litros:

M = \frac{2.50\cdot 10^{-2}\ mol}{0.25\ L} = \fbox{\color[RGB]{192,0,0}{\bm{0.10\ \frac{mol}{L}}}}


Como se trata de un ácido fuerte está completamente disociado y la concentración de protones (\ce{H^+}) coincide con la del ácido. El pH es:

\ce{pH} = -log\ [\ce{H^+}] = -log\ 0.10 = \fbox{\color[RGB]{192,0,0}{\bf 1}}


b) Basta con que apliques la condición de neutralización para calcular el volumen. Recuerda que debes tener en cuenta que el ácido es monoprótico y la base tiene dos grupos \ce{OH^-}:

M_b\cdot V_b\cdot n_{\ce{OH^-}} = M_a\cdot V_a\cdot n_{\ce{H^+}}\ \to\ \color[RGB]{2,112,20}{\bm{V_b = \frac{M_a\cdot V_a\cdot 1}{M_b\cdot 2}}}

Sustituyes y calculas:

V_b = \frac{0.10\ \cancel{M}\cdot 100\ mL}{0.02\ \cancel{M}\cdot 2} = \fbox{\color[RGB]{192,0,0}{\bf 250\ mL}}