EBAU Andalucía: química (junio 2018) - ejercicio A.6 (4659)

, por F_y_Q

Se preparan 187 mL de una disolución de ácido clorhídrico (HCl) a partir de 3 mL de un ácido clorhídrico comercial de 37 \ \% de riqueza en masa y densidad 1.184\ g\cdot mL^{-1}. Basándote en las reacciones químicas correspondientes, calcula:

a) La concentración de la disolución preparada y su pH.

b) El volumen (mL) de disolución de \ce{Ca(OH)2} 0.1 M necesario para neutralizar 10 mL de la disolución final preparada de HCl.

Masas atómicas relativas: H = 1 ; Cl = 35.5.

P.-S.

a) Debes calcular qué soluto contienen los 3 mL de disolución comercial y, a partir de ahí, hacer el cálculo de la molaridad y el pH.

mol_{\ce{HCl}} = 3\ \cancel{mL\ D}\cdot \frac{1.184\ \cancel{g\ D}}{1\ \cancel{mL\ D}}\cdot \frac{37\ \cancel{g\ \ce{HCl}}}{100\ \cancel{g\ D}}\cdot \frac{1\ mol\ \ce{HCl}}{36.5\ \cancel{g\ \ce{HCl}}} = \color[RGB]{0,112,192}{\bm{3.6\cdot 10^{-2}}\ \textbf{mol \ce{HCl}}}

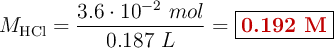
La concentración molar es:

M_{\ce{HCl}} = \frac{3.6\cdot 10^{-2}\ mol}{0.187\ L} = \fbox{\color[RGB]{192,0,0}{\bf 0.192\ M}}


Como se trata de un ácido fuerte, estará completamente disociado según la reacción:

\color[RGB]{2,112,20}{\textbf{\ce{HCl + H2O -> Cl- + H3O+}}

La concentración de \ce{H3O+} coincide con la del ácido. El pH de la disolución será:

pH = -log\ [\ce{H3O+}] = -log\ 0.192 = \fbox{\color[RGB]{192,0,0}{\bf 0.72}}


b) La reacción de neutralización que plantea el enunciado es:

\color[RGB]{2,112,20}{\textbf{\ce{2HCl + Ca(OH)2 -> CaCl2 + 2H2O}}}

Como se trata de ácido y base fuertes puedes aplicar la expresión:

\color[RGB]{2,112,20}{\bm{V_a\cdot M_a\cdot n_{\ce{H3O+}} = V_b\cdot M_b\cdot n_{\ce{OH-}}}}

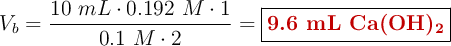
Despejas el volumen de base y sustituyes:

V_b = \frac{10\ mL\cdot 0.192\ M\cdot 1}{0.1\ M\cdot 2} = \fbox{\color[RGB]{192,0,0}{\textbf{9.6 mL \ce{Ca(OH)2}}}}