EBAU Andalucía: física (junio 2018) - ejercicio A.1 (4672)

, por F_y_Q

a) Si la masa y el radio de la Tierra se duplican, razona si las siguientes afirmaciones son correctas: i) El periodo orbital de la Luna se duplica; ii) su velocidad orbital permanece constante.

b) La masa de Marte es la décima parte de la masa de la Tierra y su radio la mitad del radio terrestre. Calcula cuál sería la masa y el peso en la superfice de Marte de una persona que en la superficie terrestre tuviera un peso de 700 N.

Dato: g_T  = 9.8\ m\cdot s^{-2} .

P.-S.

a) La velocidad orbital de la Luna se puede obtener si igualamos la atracción gravitatoria entre la Tierra y la Luna a la fuerza centrípeta debido a la velocidad con la que orbita la Luna alrededor de la Tierra (siendo ésta circular). La ecuación que resulta es:

F_G = F_{ct}\ \to\ G\cdot \frac{M_T\cdot M_L}{d_{T-L}^2} = M_L\cdot \frac{v^2}{d_{T-L}}\ \to\ \color[RGB]{2,112,20}{\bm{v = \sqrt{\frac{G\cdot M_T}{(R_T + d)}}}

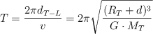
El periodo orbital se obtiene considerando que el satélite da una vuelta completa y despejando el tiempo para ello:

T = \frac{2\pi d_{T-L}}{v}  = 2\pi \sqrt{\frac{(R_T + d)^3}{G\cdot M_T}}

Llamamos v _0 y T _0 a la velocidad y el periodo orbital de la Luna y T _f y v _f para el caso de que la masa y el radio de la Tierra se dupliquen:

i) Aunque se duplique el radio de la Tierra la distancia entre Tierra y Luna es la misma, con lo que podemos escribir esta sin necesidad de tener en cuenta el radio terrestre:

T_f  = 2\pi \sqrt{\frac{d_{T-L}^3}{G\cdot M_T}}

Dividiendo ambos periodos orbitales:

\frac{T_f}{T_0} = \frac{\cancel{2\pi} \sqrt{\dfrac{d_{T-L}^3}{G\cdot 2M_T}}}{\cancel{2\pi} \sqrt{\dfrac{d_{T-L}^3}{G\cdot M_T}}} = \color[RGB]{0,112,192}{\bm{\frac{1}{\sqrt 2}}

Despejando se obtiene:

\fbox{\color[RGB]{192,0,0}{\bm{T_f = \frac{\sqrt 2 T_0}{2}}}}


Se puede concluir que es FALSA la primera afirmación.

ii) Hacemos igual que en el apartado anterior pero con las velocidades orbitales:

\frac{v_f}{v_0} = \frac{\sqrt{\dfrac{2G\cdot M_T}{d_{T-L}}}}{\sqrt{\dfrac{G\cdot M_T}{d_{T-L}}}} = \color[RGB]{0,112,192}{\bm{\sqrt 2}}

Si despejamos el valor de v _f tendremos:

\fbox{\color[RGB]{192,0,0}{\bm{v_f = \sqrt 2 v_0}}}


Se puede concluir que es FALSA la segunda afirmación.

b) A partir de los datos de Marte podemos escribir la aceleración gravitatoria en Marte en función de la terrestre:

g_M = G\cdot \frac{M_M}{R_M^2} = G\cdot \frac{4M_T}{10R_T^2} = \frac{2}{5}\ g_T

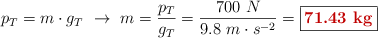
La masa de la persona es constante y no depende, por lo tanto, del planeta que consideremos. Basta con despejar su valor del peso que nos dan:

p_T = m\cdot g_T\ \to\ m = \frac{p_T}{g_T} = \frac{700\ N}{9.8\ m\cdot s^{-2}} = \fbox{\color[RGB]{192,0,0}{\bf 71.43\ kg}}


El peso de la pesona en Marte estará dado en función de la aceleración gravitatoria para Marte:

p_M = m\cdot g_M = \frac{700\ N}{g_T}\cdot \frac{2}{5}\ g_T = \fbox{\color[RGB]{192,0,0}{\bf 280\ N}}