EBAU Andalucía: física (junio 2017) - ejercicio B.1 (4643)

, por F_y_Q

a) Un bloque de acero está situado sobre la superficie terrestre. Indica justificadamente cómo se modificaría el valor de su peso si la masa de la Tierra se redujese a la mitad y se duplicase su radio.

b) El planeta Mercurio tiene un radio de 2 440 km y la aceleración de la gravedad en su superficie es 3.7\ m\cdot s^{-2}. Calcula la altura máxima que alcanza un objeto que se lanza verticalmente desde la superficie del planeta con una velocidad de 0.5\ m\cdot s^{-1}.

Dato: G = 6.67\cdot 10^{-11}\ N\cdot m^2\cdot kg^{-2}

P.-S.

a) Esta cuestión teórica la puedes abordar desde el concepto de campo gravitatorio. Sabes que el peso de un cuerpo es \color[RGB]{2,112,20}{\bf p = m\cdot g} y que g representa la aceleración de la gravedad, o lo que es lo mismo, el valor del campo gravitatorio de la Tierra en la superficie.

El campo gravitatorio sigue la fórmula:

\color[RGB]{2,112,20}{\bm{g = G\cdot \frac{M_T}{R_T^2}}}. Solo tienes que comparar esta g con la nueva intensidad cuando la masa se reduce a la mitad y el radio se hace el doble:

g^{\prime} = G\cdot \frac{\frac{M_T}{2}}{(2R_T)^2}}\ \to\ \fbox{\color[RGB]{192,0,0}{\bm{g^{\prime} = G\cdot \frac{M_T}{8R_T^2}}}}


Como puedes ver, la nueva intensidad es ocho veces MENOR que la g de la Tierra, por lo tanto, el nuevo peso también será ocho veces MENOR.

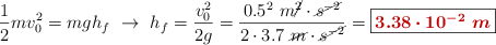
b) Este apartado es realmente simple si prestas atención a los datos del enunciado. Basta con aplicar el Principio de conservación de la energía mecánica, tomando como referencia la superficie del planeta y suponiendo que, dado que la velocidad inicial es muy pequeña, el valor de aceleración de la gravedad es CONSTANTE.

E_M(i) = E_M(f)\ \to\ \color[RGB]{2,112,20}{\bm{E_C(i) = E_P(f)}}

(Al inicio solo existe componente cinética y al final, cuando la velocidad se hace nula, solo existe componente potencial).

\frac{1}{2}mv_0^2 = mgh_f\ \to\ h_f = \frac{v_0^2}{2g} = \frac{0.5^2\ m\cancel{^2}\cdot \cancel{s^{-2}}}{2\cdot 3.7\ \cancel{m}\cdot \cancel{s^{-2}}} = \fbox{\color[RGB]{192,0,0}{\bm{3.38\cdot 10^{-2}\ m}}}