Densidad del oxígeno en condiciones estándar (204)

, por F_y_Q

¿Qué densidad tiene el \ce{O2} en condiciones estándar?

P.-S.

Una forma de hacer el problema es suponer una cantidad de oxígeno y calcular el volumen que ocupa. Si consideras un mol de \ce{O2} y aplicas la ecuación de los gases ideales, el volumen que ocupa ese mol es:

pV=nRT\ \to\ \color[RGB]{2,112,20}{\bm{V = \frac{nRT}{P}}}

Recuerda que la temperatura ha de estar expresada en escala absoluta:

V = \frac{1\ \cancel{\text{mol}}\cdot 0.082\ \frac{\cancel{\text{atm}}\cdot L}{\cancel{K}\cdot \cancel{\text{mol}}}\cdot 298\ \cancel{K}}{1\ \cancel{\text{atm}}} = \color[RGB]{0,112,192}{\bf 24.4\ L}

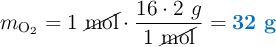
La masa del mol de oxígeno que has considerado es:

m_{\ce{O2}} = 1\ \cancel{\text{mol}}\cdot \frac{16\cdot 2\ g}{1\ \cancel{\text{mol}}} = \color[RGB]{0,112,192}{\bf 32\ g}

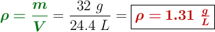
Solo te queda hacer la densidad del oxígeno:

{\color[RGB]{2,112,20}{\bm{\rho = \frac{m}{V}}}} = \frac{32\ g}{24.4\ L} = \fbox{\color[RGB]{192,0,0}{\bm{\rho = 1.31\ \frac{g}{L}}}}