Deducir ecuación de cambio de escala temperatura 0001

, por F_y_Q

De acuerdo con la escala termométrica (Y), los valores que se asignan al punto de congelación y ebullición del agua son 15 Y y 390 Y respectivamente:

a) Determina la ecuación de conversión entre la escala Y la escala centígrada.

b) Si la temperatura de ebullición de una determinada sustancia es 60\ ^\circ C; calcula su equivalente en la escala Y.

P.-S.

La escala centígrada está dividida en 100 "pasos" que llamamos grados. La escala Y debe cumplir lo mismo pero teniendo en cuenta que empieza en el valor 15 y alcanza el valor 390 cuando se avanzan 100 pasos.
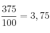
Si restamos 390 - 15 = 375, tenemos los grados Y que debemos cubrir con esos 100 pasos, por lo tanto, cada paso equivale a \frac{375}{100} = 3,75 o, lo que es lo mismo, \frac{15}{4}.
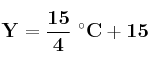
La ecuación que relaciona a ambas escalas será, por lo tanto:

\bf Y = \frac{15}{4}\ ^\circ C + 15


El valor de Y equivalente a los 60 ºC sería:

Y = \frac{15}{4}\cdot 60\ ^\circ C + 15 = \bf 240\ ^\circ Y