Cuestión configuración electrónica 0002
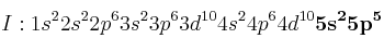
Escribe la configuración electrónica de los siguientes elementos y señala cuáles son los electrones más externos (o más alejados del núcleo) en cada caso: Ti (Z = 22) ; Zn (Z = 30) ; Rb (Z = 37) ; I (Z = 53).
Escribe la configuración electrónica de los siguientes elementos y señala cuáles son los electrones más externos (o más alejados del núcleo) en cada caso: Ti (Z = 22) ; Zn (Z = 30) ; Rb (Z = 37) ; I (Z = 53).