Cuerpos enlazados que rozan entre sí en un plano inclinado (6128)

, por F_y_Q

Dos bloques de madera se encuentran sobre un plano inclinado unidos por una polea y una cuerda de masas y efectos despreciables, estando  m_B sobre  m_A, como se muestra en la figura:

Plano inclinado con dos cuerpos enlazados que rozan uno sobre otro
EjerciciosFyQ

Calcula:

a) La aceleración del sistema y su sentido.

b) Si el centro del bloque B esta a 0.5 m de cada uno de los bordes del bloque A, ¿qué tiempo tarda el centro del bloque B en llegar al borde?

c) El valor del ángulo que impediría el movimiento de los bloques.

Datos: m_A= 20\ kg ; m_B= 10\ kg ; \mu_1= 0.2 ; \mu_2= 0.3 ; \alpha = 50\ ^o

P.-S.

Para hacer el problema, debes suponer un sentido del movimiento. Si supones que el cuerpo A cae por el plano inclinado, el cuerpo B ascenderá sobre el cuerpo A. La aceleración de ambos cuerpos ha de ser la misma.

a) Las fuerzas que hay sobre el cuerpo A son  p_{A_x}, T,  F_{R_1} y  F_{R_2}. Aplicando la segunda ley de Newton:

\color[RGB]{2,112,20}{\bm{p_{A_x} - T - F_{R_1} - F_{R_2} = m_A\cdot a}}

Las fuerzas que hay sobre el cuerpo B son  p_{B_x}, T y  F_{R_2}. Si aplicas la segunda ley de Newton a este cuerpo:

\color[RGB]{2,112,20}{\bm{T - p_{B_x} - F_{R_2} = m_B\cdot a}}

Si te centras en el módulo de la aceleración, prescindiendo del sentido, sumas ambas ecuaciones y obtienes:

p_{A_x} - \cancel{T} - F_{R_1} - 2F_{R_2} + \cancel{T} - p_{B_x}=(m_A + m_B)\cdot a

Solo tienes que despejar y sustituir para calcular la aceleración:

a=\frac{g(m_A\cdot sen\ 50 - m_B\cdot sen\ 50 - \mu_1\cdot m_A\cdot cos\ 50 - 2\mu_2\cdot m_B\cdot cos\ 50}{(m_A + m_B)}

a = \frac{9.8\frac{m}{s^2}[20\ \cancel{kg}\cdot 0.766 - 10\ \cancel{kg}\cdot 0.766 - 0.2\cdot 20\ \cancel{kg}\cdot 0.643 - 2\cdot 0.3\cdot 10\ \cancel{kg}\cdot 0.643]}{30\ \cancel{kg}} = \fbox{\color[RGB]{192,0,0}{\bm{0.40\ \frac{m}{s^2}}}}


La aceleración del sistema es el doble de la aceleración que has calculado porque era referida a cada cuerpo. Como se mueven en sentido contrario, la aceleración total sería el doble, es decir:

\fbox{\color[RGB]{192,0,0}{\bm{a_T = 0.8\ \frac{m}{s^2}}}}


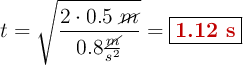
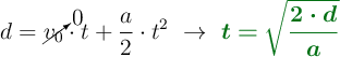
b) A partir de la ecuación de un movimiento acelerado, calculas el tiempo:

d = \cancelto{0}{v_0}\cdot t + \frac{a}{2}\cdot t^2\ \to\ \color[RGB]{2,112,20}{\bm{t = \sqrt{\frac{2\cdot d}{a}}}}

Sustituyes y calculas:

t = \sqrt{\frac{2\cdot 0.5\ \cancel{m}}{0.8\frac{\cancel{m}}{s^2}}} = \fbox{\color[RGB]{192,0,0}{\bf 1.12\ s}}


c) En este caso, la aceleración de cada cuerpo sería nula y la ecuación que obtuviste en el apartado a) te queda como:

g(m_A\cdot sen\ \theta - m_B\cdot sen\ \theta - \mu_1\cdot m_A\cdot cos\ \theta - 2\mu_2\cdot m_B\cdot cos\ \theta)= 0

Sustituyes y agrupas:

98\cdot sen \theta - 98\cdot cos\ \theta = 0\ \to\ \theta = arctg\ 1 = \fbox{\color[RGB]{192,0,0}{\bf 45^o}}