Configuración electrónica y sistema periódico 0001

, por F_y_Q

A partir de las siguientes configuraciones electrónicas, responde:

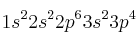
X: 1s^22s^22p^63s^23p^4 ; Y: 1s^22s^22p^63s^1 ; Z: 1s^22s^22p^63s^23p^64s^2

a) ¿A qué periodo y grupo pertenecen?

b) ¿Cuáles son sus números atómicos?

c) ¿Cuáles serán sus estados de oxidación más estables?

d) ¿Cuáles de esos iones serían isoelectrónicos?

P.-S.

a) X: Tercer periodo y grupo 16 ; Y: Tercer periodo y grupo 1 ; Z: Cuarto periodo y grupo 2.
b) X = 16 ; Y = 11 ; Z = 20
c) \bf X^{2-} ; \bf Y^+ ; \bf Z^{2+}
d) Serían \bf X^{2-} y \bf Z^{2+}