Concentraciones en el equilibrio de todas las especies en una disolución de ácido clórico (5107)

, por F_y_Q

En condiciones ambientales normales, 1 atm y 25\ ^oC, se tiene 1 litro de agua (K_w= 10^{-14}), de densidad 1 g/mL. Se le agregan 3 moles de ácido clórico, considerando que no varía el volumen, con (K_a = 2.95\cdot 10^{-8}). Considerando que la concentración de los protones en el sistema depende significativamente del ácido, es decir, ignorando lo que el agua pueda o no aportar, calcula las concentraciones molares de todas las especies: \ce{H3O+}, \ce{OH-}, \ce{HClO_3} y \ce{ClO_3-}.

P.-S.

El equilibrio, y las concentraciones en el equilibrio, que debes considerar es:

\color[RGB]{2,112,20}{\bf{\ce{{\underset{c_0-x}{HClO_3}} + H2O -> {\underset{x}{ClO_3^-}} + {\underset{x}{H_3O^+}}}}}

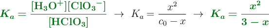
Si consideras que la concentración inicial del ácido es 3 M, la constante de acidez es:

{\color[RGB]{2,112,20}{\bm{K_a = \frac{[\ce{H3O+}][\ce{ClO3-}]}{[\ce{HClO3}]}}}}\ \to\ K_a = \frac{x^2}{c_0 - x}\ \to\ {\color[RGB]{2,112,20}{\bm{K_a = \frac{x^2}{3 - x}}}

Si sustituyes el valor de la constante de acidez y llevas todos los términos al mismo miembro de la ecuación:

K_a(3 - x) = x^2\ \to\ \color[RGB]{2,112,20}{\bm{x^2 + 2.95\cdot 10^{-8}x - 8.85\cdot 10^{-8} = 0}}

Si resuelves la ecuación de segundo grado, obtienes solo un valor positivo que es el que debes tener en cuenta:

\color[RGB]{0,112,192}{\bm{x = 2.97\cdot 10^{-4}\ M}}

Las concentraciones de las especies en el equilibrio son:

\fbox{\color[RGB]{192,0,0}{\textbf{[\ce{HClO3}] = 2.999 M}}}


\fbox{\color[RGB]{192,0,0}{\textbf{[\ce{ClO3-}] = [\ce{H3O+}] = \bm{2.97\cdot 10^{-4}\ M}}}}


Para calcular la concentración de \ce{OH-} consideras el producto iónico del agua:

\color[RGB]{2,112,20}{\textbf{\ce{K_w} = [\ce{H3O+}][\ce{OH-}]} = \bm{10^{-14}}}}

Despejas el valor de la concentración de \ce{OH-} y calculas:

[\ce{OH-}] = \frac{K_w}{[\ce{H3O+}]}\ \to\ [\ce{OH-}] = \frac{10^{-14}\ M\cancel{^2}}{2.97\cdot 10^{-4}\ \cancel{M}} = \fbox{\color[RGB]{192,0,0}{\bm{3.37\cdot 10^{-11}\ M}}}