Combustión de butano 0001

, por F_y_Q

La combustión completa de una cantidad de butano (C_4H_{10}) produce un total de 352 g de CO_2:

a) ¿Cuál es la masa de butano que se ha quemado?

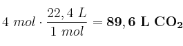
b) ¿Qué volumen de CO_2 (en c.n) suponen los 352 g?

c) ¿Qué volumen de aire, en c.n, será necesario para hacer la combustión?

P.-S.

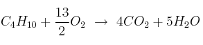
a) C_4H_{10} + \frac{13}{2}O_2\ \to\ 4CO_2 + 5H_2O

352\ g\ CO_2\cdot \frac{1\ mol}{44\ g}\cdot \frac{1\ mol\ C_4H_{10}}{4\ mol\ CO_2}\cdot \frac{58\ g}{1\ mol} = \bf 58\ g\ C_4H_{10}


b) 4\ mol\cdot \frac{22,4\ L}{1\ mol} = \bf 89,6\ L\ CO_2
c) 1\ mol\ C_4H_{10}\cdot \frac{6,5\ mol\ O_2}{1\ mol\ C_4H_{10}}\cdot \frac{22,4\ L}{1\ mol}\cdot \frac{100\ L\ aire}{21\ L\ O_2} = 693,33\ L\ aire