Cinética de la descomposición de la urea en medio ácido (6009)

, por F_y_Q

La urea (\ce{NH2-CO-NH2}) es el producto final del metabolismo de las proteínas de los animales. La urea se descompone en medio ácido según la reacción:

\ce{CO(NH2)2(ac) + H^+(ac) + 2H2O(l) -> 2NH4^+(ac) + HCO3^-(ac)}

Esta reacción es de primer orden respecto a la urea y su velocidad no depende de otros reactivos. Cuando la concentración de urea es de 0.200 M, la velocidad de la reacción a 60 ^oC es v_0  = 8.56\cdot 10^{-5}\ \textstyle{M\over s}.

a) ¿Cuál es el valor de la constante de velocidad a esta temperatura?

b) Si la concentración inicial de urea es 0.500 M, ¿cuál sería su concentración después de 1 hora?

c) ¿Cuál es la vida media de la urea a 60 ^oC?

P.-S.

a) La constante de velocidad la obtienes a partir de la ley cinética:

v_0 = k\cdot [\ce{CO(NH2)2}]_0\ \to\ k = \frac{8.56\cdot 10^{-5}\frac{\cancel{M}}{s}}{0.2\ \cancel{M}} = \fbox{\color[RGB]{192,0,0}{\bm{4.28\cdot 10^{-4}\ s^{-1}}}}


b) Como la reacción es de orden 1, puedes obtener la ecuación de la concentración de reactivo en función del tiempo:

v = -\frac{1}{\cancelto{1}{a}}\cdot \frac{d[\ce{CO(NH2)2}]}{dt} = k[\ce{CO(NH2)2}]\ \to\ \color[RGB]{2,112,20}{\bm{\int_0^tk\cdot dt = -\int_0^f \frac{d[\ce{CO(NH2)2}]}{[\ce{CO(NH2)2}]}}}

Integras y despejas el logaritmo para obtener la ecuación exponencial:

-k\cdot t = ln\frac{[\ce{CO(NH2)2}]_f}{[\ce{CO(NH2)2}]_0}\ \to\ [\ce{CO(NH2)2}]_f = [\ce{CO(NH2)2}]_0\cdot e^{-k\cdot t}

Tomas como tiempo 3 600 s, que equivalen a una hora:

[\ce{CO(NH2)2}] = 0.5\ M\cdot e^{-8.56\cdot 10^{-5}\ \cancel{s^{-1}}\cdot 3.6\cdot 10^3\ \cancel{s}} = \fbox{\color[RGB]{192,0,0}{\bf 0.367\ M}}


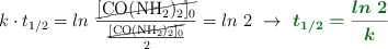
c) La vida media es el tiempo necesario para que la concentración del reactivo se reduzca a la mitad. La obtienes a partir de la ecuación anterior:

k\cdot t_{1/2} = ln\ \frac{\cancel{[\ce{CO(NH2)2}]_0}}{\frac{\cancel{[\ce{CO(NH2)2}]_0}}{2}} = ln\ 2\ \to\ \color[RGB]{2,112,20}{\bm{t_{1/2} = \frac{ln\ 2}{k}}}

Solo tienes que sustituir:

t_{1/2} = \frac{0.693}{k} = \frac{0.693}{8.56\cdot 10^{-5}\ s^{-1}} = \fbox{\color[RGB]{192,0,0}{\bm{8.09\cdot 10^3\ s}}}