Cinemática: ecuaciones de posición de dos móviles 0001

, por F_y_Q

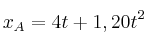
Dos automóviles A y B viajan en línea recta. La posición de A respecto al punto de partida está dada por la ecuación x_A = 4t + 1,20t^2 (en unidades SI), y para el automóvil B la posición está dada por x_B = 1,80t^2 + 0,80t^3 (también en unidades SI).
a) ¿Qué automóvil lleva la delantera justo un segundo después de salir del punto de partida?
b) ¿En qué tiempo los automóviles están en la misma posición?
c) ¿En qué tiempo tienen la misma velocidad?

P.-S.

a) Sustituimos en las ecuaciones de la posición para el valor t = 1:
x_A = 4 + 1,2 = 5,2\ m
x_B = 1,8 + 0,8 = 2,6\ m
Por lo tanto será el automóvil A el que lleve la delantera cuando hay pasado un segundo.
b) Para calcular ese tiempo debemos igualar ambas ecuaciones de la posición:
4t + 1,2t^2 = 1,8t^2 + 0,8t^3\ \to\ 4 + 1,2t = 1,8t + 0,8t^2 Resolvemos la ecuación de segundo grado que resulta de simplificar dividiendo por "t" la primera ecuación y obtenemos un único valor de tiempo positivo, que es el que estamos buscando: \bf t_1 = 1,89\ s
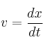
c) Para poder hacer esta parte del problema aplicamos la definición de velocidad como la derivada de la posición con respecto al tiempo: v = \frac{dx}{dt}
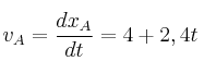
v_A = \frac{dx_A}{dt} = 4 + 2,4t
v_B = \frac{dx_B}{dt} = 3,6t + 2,4t^2
Ahora hacemos como en el apartado anterior e igualamos ambas expresiones de las velocidades para determinar el tiempo:
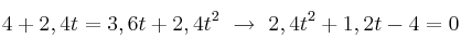
4 + 2,4t = 3,6t + 2,4t^2\ \to\ 2,4t^2 + 1,2t - 4 = 0
Al resolver la ecuación de segundo grado obtenemos sólo un valor positivo, por lo que el tiempo buscado es 1,06 s.