Calorimetría: temperatura final de una mezcla 0002

, por F_y_Q

Se desea enfriar 2 kg de agua a 50\ ^\circ C con agua que esta a 20\ ^\circ C. Para que la mezcla tenga una temperatura de 32\ ^\circ C, ¿qué cantidad de agua hay que añadir?

P.-S.

Para hacer el problema vamos a considerar que el calor que cede el agua caliente (negativo) ha de ser el mismo que absorbe el agua fría (positivo):

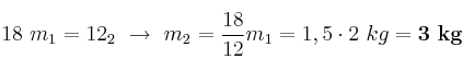
- m_1\cdot c_e\cdot (32 - 50) = m_2\cdot c_e\cdot (32 - 20)


Podemos simplificar el dato del calor específico porque es la misma sustancia y operando nos queda:

18\ m_1 = 12\m_2\ \to\ m_2 = \frac{18}{12}m_1 = 1,5\cdot 2\ kg = \bf 3\ kg