Calor cedido por el agua para enfriarse y cambiar de estado (5034)
Determina la cantidad de calor que cedieron 20 kg de agua para enfriarse desde los
hasta los
.
Datos:
;
;
; 
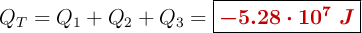
Determina la cantidad de calor que cedieron 20 kg de agua para enfriarse desde los
hasta los
.
Datos:
;
;
; 