Cálculo del pH de una disolución comercial de ácido clorhídrico (5150)

, por F_y_Q

Calcula el pH de una solución de 200 mL preparada a partir de 5 mL de HCl al 37\ \% (m/m) y densidad 1.18 g/mL.

P.-S.

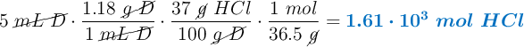
En primer lugar, debes saber los moles de HCl que están contenidos en los 5 mL de la disolución comercial:

5\ \cancel{mL\ D}\cdot \frac{1.18\ \cancel{g\ D}}{1\ \cancel{mL\ D}}\cdot \frac{37\ \cancel{g}\ HCl}{100\ \cancel{g\ D}}\cdot \frac{1\ mol}{36.5\ \cancel{g}} = \color[RGB]{0,112,192}{\bm{1.61\cdot 10^3\ mol\ HCl}}

La molaridad de la disolución será el cociente entre los moles de HCl y el volumen final tras la dilución de los 5 mL considerados de disolución comercial y añadir agua hasta 200 mL de disolución:

M = \frac{mol\ HCl}{L\ D} = \frac{1.61\cdot 10^{-3}\ mol\ HCl}{0.2\ L} = \color[RGB]{0,112,192}{\bm{8\cdot 10^{-3}\ mol\cdot L^{-1}}}

Para calcular el pH, debes tener en cuenta que se trata de un ácido muy fuerte y estará completamente disociado, por lo que la concentración molar de los protones será la misma que la de la disolución. El pH se obtiene a partir de la ecuación:

{\color[RGB]{2,112,20}{\bm{pH = -log\ [H^+]}}}\ \to\ pH = -log\ 8\cdot 10^{-3} = \fbox{\color[RGB]{192,0,0}{\bf 2.1}}