Cálculo de la constante de acidez del ácido benzoico (709)

, por F_y_Q

Se tiene una disolución 0.25 M de ácido benzoico. La concentración de iones hidronio en esta disolución es [\ce{H3O+}] = 4\cdot 10^{-3}\ M. Calcula la constante de acidez del ácido benzoico.

P.-S.

El ácido benzoico es un ácido monoprótico de fórmula molecular \ce{C6H5COOH} . El equilibrio de disociación en agua, junto a sus concentraciones en el equilibrio, es:

\color[RGB]{2,112,20}{\bf{\ce{\underset{c_0 - x}{C_6H_5COOH} + H2O -> \underset{x}{C_6H_5COO^-} + \underset{x}{H_3O^+}}}}

La constante de acidez es:

\color[RGB]{2,112,20}{\bm{K_a = \frac{[\ce{C6H5COO-}][\ce{H3O+}]}{[\ce{C6H5COOH}]}}}

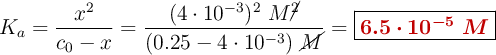
Como conoces el valor de «x» y la concentración inicial, solo tienes que sustituir y calcular:

K_a = \frac{x^2}{c_0-x} = \frac{(4\cdot 10^{-3})^2\ M\cancel{^2}}{(0.25 - 4\cdot 10^{-3})\ \cancel{M}} = \fbox{\color[RGB]{192,0,0}{\bm{6.5\cdot 10^{-5}\ M}}}