Caída libre en sistema con movimiento uniforme (2926)

, por F_y_Q

En un ascensor, que se mueve hacia arriba con rapidez constante de 6 m/s, una persona deja caer una moneda de su mano con una altura de 1.2 m con respecto al suelo del ascensor. ¿Cuánto tiempo tarda la moneda en llegar al suelo del ascensor?

P.-S.

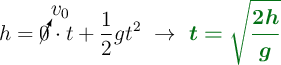
Se trata de una caída libre en la que la aceleración es la aceleración de la gravedad. Como el ascensor sube con velocidad constante, no afecta en nada al desarrollo del problema:

h = \cancelto{v_0}{0}\cdot t + \frac{1}{2}gt^2\ \to\ \color[RGB]{2,112,20}{\bm{t = \sqrt{\frac{2h}{g}}}}

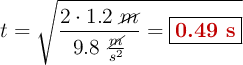
Si sustituyes los datos y calculas:

t = \sqrt{\frac{2\cdot 1.2\ \cancel{m}}{9.8\ \frac{\cancel{m}}{s^2}} = \fbox{\color[RGB]{192,0,0}{\bf 0.49\ s}}