Átomos, moléculas, moles y gramos en una muestra de glucosa (5868)

, por F_y_Q

Una muestra de glucosa, \ce{C6H12O6}, contiene 5.77\cdot 10^{20} átomos de carbono.

a) ¿Cuántos átomos de hidrógeno contiene?

b) ¿Cuántas moléculas de glucosa contiene?

c) ¿Cuántos moles de glucosa contiene?

d) Calcula la masa de la muestra en gramos.

P.-S.

a) Como sabes los átomos de C que contiene la muestra solo tienes que hacer la proporción entre los átomos de C y los de H:

5.77\cdot 10^{20}\ \cancel{\acute{a}t\ C}}\cdot \frac{12\ \acute{a}t\ H}{6\ \cancel{\acute{a}t\ C}}} = \fbox{\color[RGB]{192,0,0}{\bm{1.15\cdot 10^{21}\ \acute{a}t\ H}}}


b) Ahora haces la proporción entre los átomos de C y los átomos de C que contiene cada molécula de glucosa:

5.77\cdot 10^{20}\ \cancel{\acute{a}t\ C}}\cdot \frac{1\ mol\acute{e}c\ \ce{C6H12O6}}{6\ \cancel{\acute{a}t\ C}}} = \fbox{\color[RGB]{192,0,0}{\bm{9.62\cdot 10^{19}\ mol\acute{e}c}\ \textbf{\ce{C6H12O6}}}}


c) Conviertes las moléculas de glucosa calculadas en el apartado anterior en moles, por medio del número de Avogadro:

9.62\cdot 10^{19}\ \cancel{mol\acute{e}c}\ \ce{C6H12O6}\cdot \frac{1\ mol}{6.022\cdot 10^{23}\ \cancel{mol\acute{e}c}} = \fbox{\color[RGB]{192,0,0}{\bm{1.60\cdot 10^{4}}\ \textbf{mol\ \ce{C6H12O6}}}}


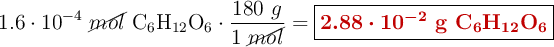
d) La masa de glucosa la puedes obtener si calculas la masa molecular de la sustancia y conviertes los moles en gramos:

M_{\ce{C6H12O6}} = 6\cdot 12 + 12\cdot 1 + 6\cdot 16 = \color[RGB]{0,112,192}{\bm{180\ \frac{g}{mol}}}

1.6\cdot 10^{-4}\ \cancel{mol}\ \ce{C6H12O6}\cdot \frac{180\ g}{1\ \cancel{mol}} = \fbox{\color[RGB]{192,0,0}{\bm{2.88\cdot 10^{-2}}\ \textbf{g\ \ce{C6H12O6}}}}