Aplicación del reactivo limitante de una reacción química 0001

, por F_y_Q

El óxido de titanio(IV) es un pigmento usado en la fabricación de pinturas que se obtiene al hacer reaccionar cloruro de titanio(IV) con oxígeno:

TiCl_4 + O_2\ \to\ TiO_2 + Cl_2

a) Si 3,5 moles de TiCl_4 reaccionan con 1,5 moles de O_2, ¿cuál es el reactivo limitante?
b) ¿Cuántos moles del reactivo en exceso permanecen sin reaccionar?
c) ¿Cuántos gramos de cada producto se obtienen al finalizar la reacción?

P.-S.

Balanceamos o ajustamos el proceso: TiCl_4 + O_2\ \to\ TiO_2 + 2Cl_2
a) La estequiometría entre TiCl_4 y O_2 es 1:1, por lo que el reactivo limitante es el \bf O_2.
b) Sobrarán (3,5 - 1,5) mol = 2 mol de \bf TiCl_4.
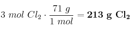
c) Se obtendrán 1,5 mol de TiO_2 y 3 mol de Cl_2 (siguiendo la estequiometría de la reacción). Sus masas serán:

1,5\ mol\ TiO_2\cdot \frac{79,9\ g}{1\ mol} = \bf 119,85\ g\ TiO_2


3\ mol\ Cl_2\cdot \frac{71\ g}{1\ mol} = \bf 213\ g\ Cl_2