Aplicación de la segunda ley de la dinámica (2066)

, por F_y_Q

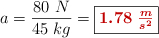
Se aplica una fuerza de 80 N a una masa de 45 kg. Calcula la aceleración que sufrirá la masa.

P.-S.

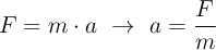
A partir de la ecuación de la segunda ley de la dinámica despejas el valor de la aceleración:

F  = m\cdot a\ \to\ a = \frac{F}{m}.

Sustituyes los datos del enunciado y calculas:

a = \frac{80\ N}{45\ kg} = \fbox{\color[RGB]{192,0,0}{\bm{1.78\ \frac{m}{s^2}}}}