Aplicación de la ley de Hooke (2596)

, por F_y_Q

El extremo libre de un trampolín en una piscina queda a 55 cm por encima del agua. Si un hombre de 50 kg parado sobre el extremo del tablón lo hace bajar hasta 35 cm del agua, ¿cuánta ha de ser la carga para que baje hasta 5 cm del agua?

P.-S.

A partir de la Ley de Hooke (F  = - k\cdot x) podemos despejar para obtener el valor de la constante recuperadora del trampolín:

k  = \frac{F}{x} = \frac{50\ kg\cdot 9.8\ \frac{m}{s^2}}{0.2\ m} = \color[RGB]{0,112,192}{\bm{2\ 450\ \frac{kg}{s^2}}}

(El trampolín ha bajado 20 cm con respecto a su posición de equilibrio). El signo menos de esta ecuación hace referencia solo al sentido de la fuerza y por ello podemos prescindir de él en el cálculo que estamos realizando.

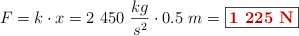
Para conseguir que la elongación del trampolín sea de 50 cm (0.5 m), hará falta una fuerza de:

F = k\cdot x = 2\ 450\ \frac{kg}{s^2}\cdot 0.5\ m = \fbox{\color[RGB]{192,0,0}{\bf 1\ 225\ N}}


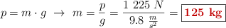
La masa necesaria para que la fuerza tenga ese valor será:

p = m\cdot g\ \to\ m = \frac{p}{g} = \frac{1\ 225\ N}{9.8\ \frac{m}{s^2}} = \fbox{\color[RGB]{192,0,0}{\bf 125\ kg}}