Aplicación de la estequiometría a un proceso redox 0001

, por F_y_Q

Los cristales de oxalato de calcio y otros cristales se pueden depositar en la uretra y en los conductos renales provocando cálculos renales que generan cólicos y fuertes dolores. Cuando se expulsa uno de esos cálculos se analiza para corroborar si es oxalato, descomponiéndose según la reacción:

CaC_2O_4 + KMnO_4 + H_2SO_4 \ \to\ MnSO_4 + CaSO_4 + CO_2 + H_2O + K_2SO_4


Suponiendo que el paciente elimina un calculo de 0,7 g, ¿cuánto dióxido de carbono se producirá tras el análisis?

P.-S.

En primer lugar hay que ajustar la reacción. Al hacerlo, siguiendo el método del ión-electrón, se obtiene la siguiente ecuación química:

5CaC_2O_4+2KMnO_4+8H_2SO_4\ \to\ 2MnSO_4+5CaSO_4+10CO_2+8H_2O+K_2SO_4


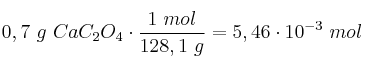
Se obtienen 10 mol de CO_2 por cada 5 mol de CaC_2O_4, es decir, el doble de moles de óxido de carbono que de oxalato de calcio. Vamos a determinar los moles de oxalato:
0,7\ g\ CaC_2O_4\cdot \frac{1\ mol}{128,1\ g} = 5,46\cdot 10^{-3}\ mol
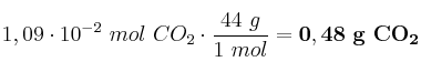
Por lo tanto los moles de dióxido de carbono serán 1,09\cdot 10^{-2}\ mol. Teniendo en cuenta que su masa molecular es 44 g/mol:

1,09\cdot 10^{-2}\ mol\ CO_2\cdot \frac{44\ g}{1\ mol} = \bf 0,48\ g\ CO_2