Aplicación de la ecuación de los gases ideales 0001

, por F_y_Q

Un recipiente contiene 20 mol de helio que ocupan un volumen de 15 L medidos a 1,5 atm. Si se extraen 5 mol de gas, la presión desciende a 750 torr. ¿Cuál será el nuevo volumen de helio en estas condiciones?

P.-S.

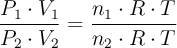
Para hacer el ejercicio de manera simple, vamos a hacer una relación entre los dos estados termodinámicos, suponiendo que la temperatura no varía. Esto se hace haciendo la relación entre las ecuaciones de estado del momento inicial y el final:

\frac{P_1\cdot V_1}{P_2\cdot V_2} = \frac{n_1\cdot R\cdot T}{n_2\cdot R\cdot T}


Al ser iguales los valores de R y T podremos simplificar y si despejamos y sustituimos (expresamos el valor de la presión inicial en torr para que la presión sea homogénea (1,5\ atm\cdot \frac{760\ torr}{1\ atm} = 1140\ torr):

V_2 = \frac{P_1\cdot V_1\cdot n_2}{P_2\cdot n_1} = \frac{1140\ torr\cdot 15\ L\cdot 15\ mol}{750\ torr\cdot 20\ mol} = \bf 17,1\ L