Ampliación: tiempo que tarda un tren en cruzar completamente un túnel (6065)

, por F_y_Q

Un tren de 800 dm de longitud avanza con movimiento rectilíneo uniforme a 120 km/h. Si este cruza un puente que mide 10 000 cm de largo, determina el tiempo que emplea el tren en cruzar completamente el puente.

P.-S.

En este ejercicio es importante expresar todos los datos en el mismo sistema de unidades. Lo más apropiado es que lo hagas con unidades SI, convirtiendo los datos:

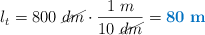
l_t = 800\ \cancel{dm}\cdot \frac{1\ m}{10\ \cancel{dm}} = \color[RGB]{0,112,192}{\bf 80\ m}

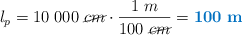
l_p = 10\ 000\ \cancel{cm}\cdot \frac{1\ m}{100\ \cancel{cm}} = \color[RGB]{0,112,192}{\bf 100\ m}

v_t = 120\ \frac{\cancel{km}}{\cancel{h}}\cdot \frac{10^3\ m}{1\ \cancel{km}}\cdot \frac{1\ \cancel{h}}{3.6\cdot 10^3\ s} = \color[RGB]{0,112,192}{\bm{33.3\ \frac{m}{s}}}

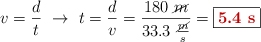
Para cruzar totalmente el puente es necesario que la máquina del tren recorra los 100 m del puente y otros 80 m para que el resto del tren sobrepase el puente, es decir, la distancia que debes considerar es 180 m:

v = \frac{d}{t}\ \to\ t = \frac{d}{v} = \frac{180\ \cancel{m}}{33.3\ \frac{\cancel{m}}{s}} = \fbox{\color[RGB]{192,0,0}{\bf 5.4\ s}}


Descarga el enunciado y la resolución del problema en formato EDICO si lo necesitas.