Ampliación: dilución de una disolución de sal y nueva concentración (5867)

, por F_y_Q

Se mezclan 50 g de solución al 20 \% en masa de cloruro de sodio con 20 g de agua. Calcula el nuevo valor de la concentración.

P.-S.

En primer lugar, aplicando la definición del porcentaje en masa, calculas los gramos de soluto que contiene la disolución de partida:

m_S = 50\ \cancel{g\ D}\cdot \frac{20\ g\ S}{100\ \cancel{g\ D}} = \color[RGB]{0,112,192}{\bf 10\ g\ S}

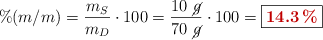
La masa de sal no varía porque solo añades agua. La nueva masa de la disolución son los 50 g de partida más los 20 g de agua, es decir, 70 g de la nueva disolución. Calculas el porcentaje en masa:

\% (m/m) = \frac{m_S}{m_D}\cdot 100 = \frac{10\ \cancel{g}}{70\ \cancel{g}}\cdot 100 = \fbox{\color[RGB]{192,0,0}{\bf 14.3\%}}