Ajuste de una reacción y estequiometría 0002

, por F_y_Q

En la combustión de cierta cantidad de gas butano se obtuvieron 1750 g de dióxido de carbono. ¿De cuánto gas butano se partió?

P.-S.

Primero debemos escribir la reacción ajustada:

C_4H_{10} + \frac{13}{2}O_2\ \to\ 4CO_2 + 5H_2O


Por cada mol de butano que se quema se obtienen 4 mol de dióxido de carbono. Ahora vamos a expresar en mol la masa de dióxido de carbono:

1750\ g\ CO_2\cdot \frac{1\ mol}{44\ g} = 39,77\ mol\ CO_2


Si aplicamos ahora la estequiometría:

39,77\ mol\ CO_2\cdot \frac{1\ mol\ C_4H_{10}}{4\ mol\ CO_2} = 9,94\ mol\ C_4H_{10}


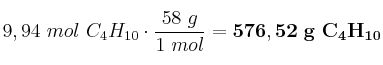
Y sólo nos queda convertir en masa esos moles de butano:

9,94\ mol\ C_4H_{10}\cdot \frac{58\ g}{1\ mol} = \bf 576,52\ g\ C_4H_{10}