Ajustar reacción y pureza de un reactivo 0001

, por F_y_Q

Si añadimos cáscara de huevo a un vaso de vinagre veremos que la cáscara "desaparece" pasado un tiempo. La reacción que tiene lugar es:

CH_3COOH + CaCO_3\ \to\ Ca(CH_3COO)_2 + CO_2 + H_2O

a) Ajusta la reacción

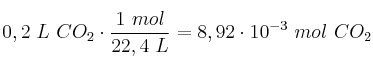
b) Determina la concentración de CaCO_3 en la cáscara de huevo si se recogen 0,2 L de CO_2 (en c.n) cuando se echaron 2 g de cáscara al vinagre.

P.-S.

a) 2CH_3COOH + CaCO_3\ \to\ Ca(CH_3COO)_2 + CO_2 + H_2O
b) 0,2\ L\ CO_2\cdot \frac{1\ mol}{22,4\ L} = 8,92\cdot 10^{-3}\ mol\ CO_2
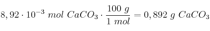
La estequiometría entre el CaCO_3 y el CO_2 es 1:1, por lo que habrán reaccionado los mismos moles de CaCO_3:

8,92\cdot 10^{-3}\ mol\ CaCO_3\cdot \frac{100\ g}{1\ mol} = 0,892\ g\ CaCO_3


Como los 2 g de cáscara representan el 100\% de la muestra:
0,892\ g\cdot \frac{100\%}{2\ g} = \bf 44,6\%