Aceleración y tiempo que tarda en recorrer un plano inclinado (4541)

, por F_y_Q

Un bloque rectangular de 2 kg se encuentra apoyado sobre una superficie inclinada 30 ^o y a 1 m de altura sobre la horizontal, sin rozamiento:

a) Calcula el valor de la aceleración que adquiere el bloque.

b) Calcula el tiempo que tarda en llegar a la parte más baja del plano inclinado, partiendo desde el reposo.

P.-S.

a) Al estar sobre un plano inclinado, y en ausencia de rozamiento, habrá dos fuerzas: la componente «x» del peso y la normal, que es igual a la componente «y» del peso:

p_x = mg\cdot sen\ 30^o = 2\ kg\cdot \9.8\ \frac{m}{s^2}\cdot \frac{1}{2} = \color[RGB]{0,112,192}{\bf 9.8\ N}

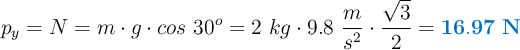
p_y = N = m\cdot g\cdot cos\ 30^o = 2\ kg\cdot 9.8\ \frac{m}{s^2}\cdot \frac{\sqrt{3}}{2} = \color[RGB]{0,112,192}{\bf 16.97\ N}

La aceleración es la debida a la componente «x» del peso:

p_x = m\cdot a\ \to\ a = \frac{p_x}{m} = \frac{9.8\ N}{2\ kg} = \fbox{\color[RGB]{192,0,0}{\bm{4.9\ \frac{m}{s^2}}}}


b) La altura a la que está es de un metro, eso quiere decir que la distancia que ha de recorrer, aplicando la definición del seno, es:

d = \frac{h}{sen\ 30^0} = \frac{1\ m}{0.5} = \color[RGB]{0,112,192}{\bf 2\ m}

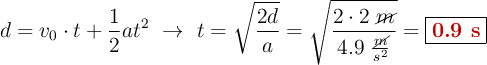
Conociendo la distancia y la aceleración, puedes calcular el tiempo:

d = v_0\cdot t + \frac{1}{2}at^2\ \to\ t = \sqrt{\frac{2d}{a}} = \sqrt{\frac{2\cdot 2\ \cancel{m}}{4.9\ \frac{\cancel{m}}{s^2}}} = \fbox{\color[RGB]{192,0,0}{\bf 0.9\ s}}