Aceleración y tensión de la cuerda de un sistema de dos cuerpos enlazados (293)

, por F_y_Q

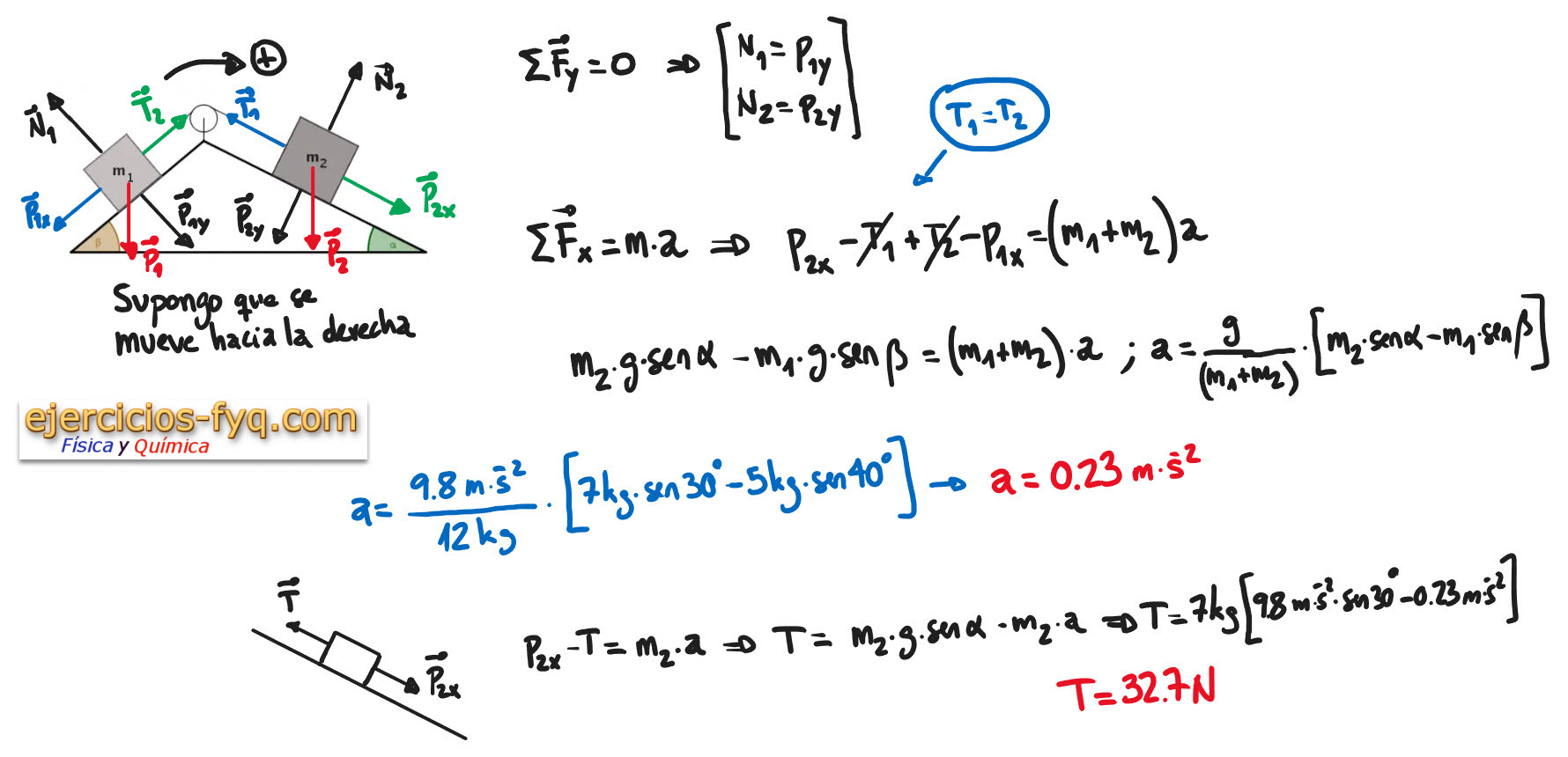
En el sistema de la figura m_1  = 5 kg y m_2  = 7 kg. Los valores de los ángulos son \alpha = 30 ^o y \beta = 40 ^o. Suponiendo que no existe rozamiento, ¿hacia dónde y con qué aceleración se moverá el sistema? ¿Cuál es la tensión de la cuerda?

P.-S.

\fbox{\color[RGB]{192,0,0}{\bm{a = 0.23\ \frac{m}{s^2}}}}

\fbox{\color[RGB]{192,0,0}{\bf T = 32.7\ N}}

Clica sobre la miniatura para ver la resolución con más detalle.