Aceleración y distancia recorrida por un cuerpo sin rozamiento (4608)

, por F_y_Q

Sobre un cuerpo de 5 kg, que está en reposo apoyado sobre una superficie horizontal y en ausencia de rozamiento, se aplica una fuerza horizontal hacia la derecha de 30 N:

a) Representa y calcula las fuerzas presentes en el esquema.

b) Calcula el valor de la aceleración que adquiere el cuerpo.

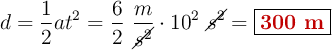
c) Calcula la distancia que recorre el cuerpo en los primeros 10 segundos.

P.-S.

a) Las fuerzas que actúan son tres: dos de ellas son verticales: el peso (hacia abajo) y la normal (hacia arriba) y la fuerza horizontal aplicada. Al no haber rozamiento, no hay que tenerla en cuenta, como se puede ver en el esquema:


b) La aceleración se puede calcular a partir de la segunda ley de Newton:

F = m\cdot a\ \to\ a = \frac{F}{m} = \frac{30\ N}{5\ kg} = \fbox{\color[RGB]{192,0,0}{\bm{6\ \frac{m}{s^2}}}}


c) Partiendo del reposo y con la aceleración calculada, la distancia será:

d = \frac{1}{2}at^2 = \frac{6}{2}\ \frac{m}{\cancel{s^2}}\cdot 10^2\ \cancel{s^2} = \fbox{\color[RGB]{192,0,0}{\bf 300\ m}}