Aceleración de un sistema formado por dos cuerpos unidos por una cuerda (6367)

, por F_y_Q

Un cuerpo de 27 kg cuelga de una cuerda que pasa por una polea sin rozamiento y está conectada a otro bloque de 18 kg situado en una mesa pulida. Determina la aceleración de los bloques y la tensión de la cuerda.

P.-S.

Para poder hacer el problema es buena idea hacer un esquema de la situación y pintar las fuerzas presentes en el sistema:

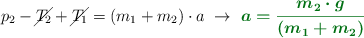
Ahora solo tienes que aplicar la segunda ley de Newton en la dirección del movimiento del sistema:

p_2 - \cancel{T_2} + \cancel{T_1} = (m_1 + m_2)\cdot a\ \to\ \color[RGB]{2,112,20}{\bm{a = \frac{m_2\cdot g}{(m_1 + m_2)}}

Solo te queda sustituir y calcular la aceleración:

a = \frac{27\ \cancel{kg}\cdot 9.8\ \frac{m}{s^2}}{(27 + 18)\ \cancel{kg}} = \fbox{\color[RGB]{192,0,0}{\bm{5.88\ \frac{m}{s^2}}}}


La tensión de la cuerda la puedes calcular ahora aislando uno de los cuerpos. Si lo haces con el cuerpo que pende de la cuerda:

p_2 - T_2 = m_2\cdot a\ \to\ T_2 = m_2\cdot (g - a) = 27\ kg\cdot (9.8 - 5.88)\ \frac{m}{s^2} = \fbox{\color[RGB]{192,0,0}{\bm{105.6\ N}}}