Aceleración de un cuerpo sobre el que actúan cinco fuerzas y el rozamiento (6491)

, por F_y_Q

Sobre un cuerpo de 2 kg que está apoyando sobre una superficie horizontal están actuando cinco fuerzas; tres de ellas con dirección hacia la derecha las cuales son f_1 = 9.5\cdot 10^5\ dyn , f_2 = 2\ kp y f_4 = 20\ N y las otras dos están actuando hacia la izquierda, siendo f_3 = 3\cdot 10^6\ dyn y f_5 = 10\ kp . Calcula la aceleración con que se mueve el cuerpo y su sentido, sabiendo que el coeficiente de rozamiento es \mu  = 0.1 .

P.-S.

La clave del ejercicio está en convertir las unidades de fuerza y sumar las que van en un sentido y otro. Luego las restas:

F_1 = f_1 + f_2 + f_4 = 9.5\ N + 19.6\ N + 20\ N = 49.1\ N

F_2 = f_3 + f_5 = 30\ N + 98\ N = 128\ N

La fuerza de rozamiento siempre se opone al movimiento y es:

F_{roz} = \mu\cdot m\cdot g = 0.1\cdot 2\ kg\cdot 9.8\ \frac{m}{s^2} = 1.96\ N

La fuerza total sobre el cuerpo es:

F_T = (128 - 49.1 - 1.96)\ N = \color[RGB]{0,112,192}{\bf 76.94\ N}

El cuerpo se moverá hacia la izquierda.

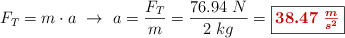
La aceleración con la que se mueve es:

F_T = m\cdot a\ \to\ a = \frac{F_T}{m} = \frac{76.94\ N}{2\ kg} = \fbox{\color[RGB]{192,0,0}{\bm{38.47\ \frac{m}{s^2}}}}